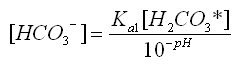
Next, in order to determine the concentration of bicarbonate in an open system, equation 10 can be rearranged:

equation 10 rearranged

and equation 12 can be substituted in:

bicarbonate ion concentration

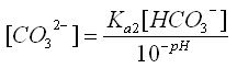
The applet uses equation 13 to plot the logarithm of the concentration of bicarbonate ions in the open ocean. In order to determine the concentration of carbonate ions in an open system, equation 11 can be rearranged,

equation 11 rearranged

and equation 13 can be substituted in:

carbonate concentration equation with equation 13 substituted in
carbonate ion concentration

Equation 14 is used in the applet to plot the logarithm of the concentration of carbonate ions in the open ocean.

For questions or concerns, please email us at kcvs@kingsu.ca.
Content subject to KCVS terms of use.
Click here to see our land acknowledgement.
© The King's Centre for Visualization in Science.